卫
卫氏首页
|
卫氏新闻
|
家谱源流
|
古代人物
|
当代人物
|
文物古迹
|
图片新闻
|
卫氏家谱
|
卫氏论坛
|
中华万家姓
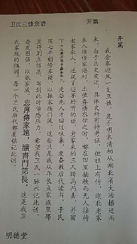
【卫氏网新闻】明德堂三修国庆正式在安徽六安叶集颁谱
中华卫氏网 2015年10月3日 中华卫氏网
中华衞氏宗亲网——弘扬卫氏文化,传承先祖精神;寻根联谊互助,激励子孙奋发!
分享按钮
>>
【先氏网新闻】热烈祝贺中华先氏网开通
>>
【先氏网新闻】人口普查发现生僻姓氏 存在着补和仙等姓